本文接前面文章:
根据上文我们已经得知,在随机过程的基础上
在马尔可夫决策过程中,
(S是状态的集合)和
(R是奖励的集合)的每个可能的值出现的概率只取决于前一个状态
和前一个动作
(A是动作的集合),并且与更早之前的状态和动作完全无关
换言之,当给定当前状态
(比如
),以及当前采取的动作
(比如
),那么下一个状态
出现的概率,可由状态转移概率矩阵表示如下
考虑到在当前状态和当前动作确定后,那么其对应的即时奖励则也确定了
,故的RL一书中,给的状态转移概率矩阵类似为
从而可得奖励函数即为
至于过程中采取什么样的动作就涉及到策略,策略函数可以表述为
函数(当然,这里的
跟圆周率没半毛钱关系)
通过上文,我们已经知道不同状态出现的概率不一样(比如今天是晴天,那明天是晴天,还是雨天、阴天不一定),同一状态下执行不同动作的概率也不一样(比如即便在天气预报预测明天大概率是天晴的情况下,你大概率不会带伞,但依然不排除你可能会防止突然下雨而带伞)
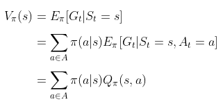
而有了动作这个因素之后,我们重新梳理下价值函数
首先,通过“状态价值函数”对当前状态进行评估
相当于从状态S出发遵循策略
能获得的期望回报
其次,通过“动作价值函数”对动作的评估
相当于对当前状态S依据策略
执行动作
得到的期望回报,这就是大名鼎鼎的Q函数,得到Q函数后,进入某个状态要采取的最优动作便可以通过Q函数得到
当有了策略、价值函数和模型3个组成部分后,就形成了一个马尔可夫决策过程( )。如下图所示,这个决策过程可视化了状态之间的转移以及采取的动作。
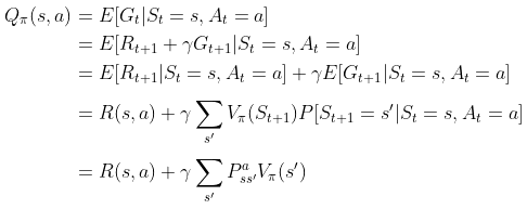
且通过状态转移概率分布,我们可以揭示状态价值函数和动作价值函数之间的联系了
我猜可能有读者会问怎么来的,简略推导如下
针对这个公式 大部分资料都会一带而过,但不排除会有不少读者问怎么来的,考虑到对于数学公式咱们不能想当然靠直觉的自认为,所以还是得一五一十的推导下
上述推导过程总共五个等式,其中,第三个等式到第四个等式依据的是
,至于第四个等式到第五个等式依据的是状态转移概率矩阵的定义
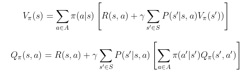
接下来,把上面
的计算结果互相代入,可得马尔可夫决策的贝尔曼方程
上述过程可用下图形象化表示(配图来自文献21)
计算示例和更多细节待补充..
想在NLP领域更系统、深入提升的同学,我建议你看下【NLP高级小班 第十一期】
一次报名,答疑服务三年
考虑到市面上课程大都以讲技术、讲理论为主,鲜有真正带着学员一步步从头到尾实现企业级项目的高端课程,故我们让大厂技术专家手把手带你实战大厂项目。一方面,让大家更好的在职提升,另一方面,力求让每位同学都深刻理解NLP的各大模型、理论和应用。
第十一期,除了继续维持上一期的:
本期更对技术和项目阶段做了大力度改进:
面向群体: 本课程适合已经在做AI的进一步在职提升,比如在职上班族跳槽涨薪/升职加薪,采用严格筛选制(通过率不到1/3),需要具备一定的基础能力才能报名通过,故以下同学优先:
【NLP高级小班 第十一期】已开营,放5个免费试听名额,有意找苏苏老师(VX: )或七月在线其他老师申请试听了解课程
(扫码联系苏苏老师)
