引言
长短时记忆(long short term ,LSTM)是一种有效的链式循环神经网络( ,R2 NN1),被广泛用于语言模型、机器翻译、语音识别等领域。本文具体就LSTM的具体实现做出推导。
01 LSTM模型描述
因为传统的RNN在间隔不断增大的同时,会丧失学习到连接如此远的信息的能力。这个问题简称长期依赖问题,为了解决这个问题,LSTM通过刻意的设计来避免长期依赖问题。以下就是LSTM的结构图:

展开以后变成:

它与RNN的简单模型不一样的地方在于:
它是由记忆细胞、遗忘门、输入门、输出门组成。记忆细胞负责存储历史信息, 通过一个状态参数来记录和更新历史信息;三个门结构则通过函数决定信息的取舍, 从而作用于记忆细胞。
遗忘门用来选择性忘记多余或次要的记忆
输入门决定我们需要更新什么值
输出门决定细胞状态的哪个部分输出出去
02 模型抽象和数学符号的说明
为了方便数学原理的推导,这里我们用下面的简略图代替:


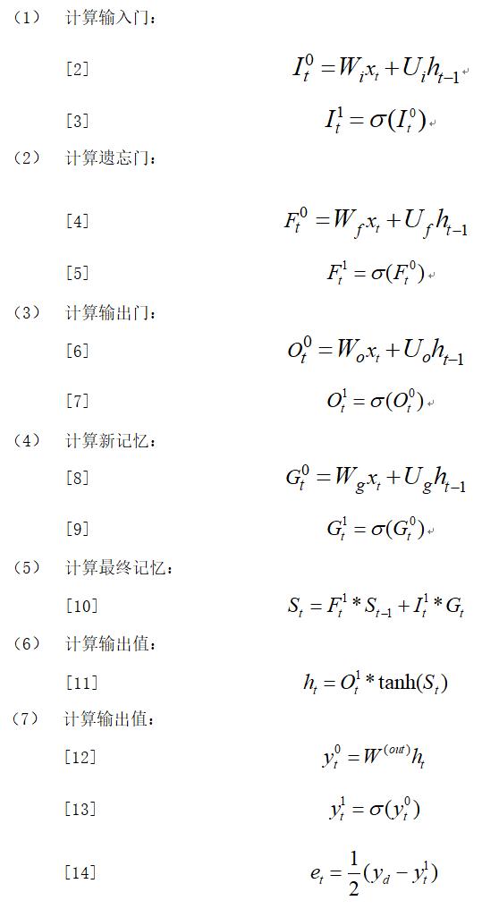
03 前向传播算法
前向传播总体上就是对三个门进行计算,然后通过这三个门决定当前细胞的隐藏状态,更新当前记忆和过去的记忆,最终再计算出输出值传入下一次前向网络中:因为三个门的情况不仅取决于输入向量Xt,还取决于ht-1

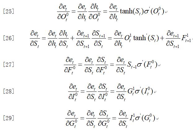
04 反向传播算法




© 版权声明
文章版权归作者所有,未经允许请勿转载。
相关文章
暂无评论...